Премії і надбавки: скільки заробили головні посадовці Хорола у 2025 році?

У 2025 році чотирьом головним посадовцям Хорольської громади загалом нарахували понад 3,1 млн грн заробітної плати – це разом з преміями, надбавками та іншими виплатами. Найбільші суми традиційно припадали на місяці, коли виплачували матеріальну допомогу, відпускні або лікарняні. Розрахункові листи за 2025 рік ми отримали у відповідь на інформаційний запит.
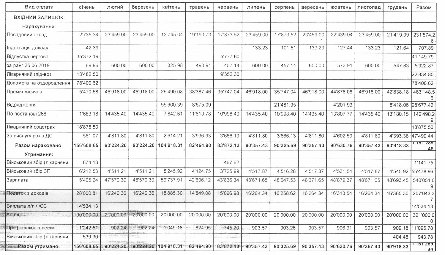
Міський голова
Міським головою Хорола залишається Сергій Волошин. Його посадовий оклад у 2025 році становив 23 459 грн. Упродовж року він отримував надбавку за ранг, за вислугу років, доплату відповідно до постанови №268 (її ще називають доплатою за високі досягнення у праці). Також він отримував щомісячну премію – її розмір дорівнював двом окладам. Лише премій за рік міському голові нарахували 463 148 грн.

Окрім цього, міський голова отримав 78 400 грн матеріальної допомоги на оздоровлення, понад 41 тис. грн відпускних, виплати за лікарняними та майже 98,7 тис. грн за відрядження (у квітні сума за відрядження склала майже 56 тис. грн).
Середньомісячна зарплата мера після сплати податків і відрахувань складала близько 68 тис. грн. Найбільша зарплатня була в січні за рахунок лікарняних, матеріальної допомоги та відпускних. У той місяць посадовцю нарахували понад 156 тисяч гривень, а виплатили майже 120 тис. грн.
Загальний оподатковуваний дохід Сергія Волошина за 2025 рік – 1 151 289 грн, із яких на руки він отримав понад 874 тис. грн.
Заступник міського голови
Заступником міського голови у 2025 році є Валентин Місніченко. Його посадовий оклад становив 18 767 грн.

Упродовж року він отримував премії, надбавки за вислугу років і ранг, доплати за постановою №268, відпускні, а також лікарняні. За даними розрахункових листів, нарахування за лікарняними – понад 180 тис. грн за рік. Матеріальна допомога на оздоровлення склала 47 820 грн.
Оподатковуваний дохід заступника за рік становив 664 423 грн, із яких на руки він отримав 509,5 тис грн.
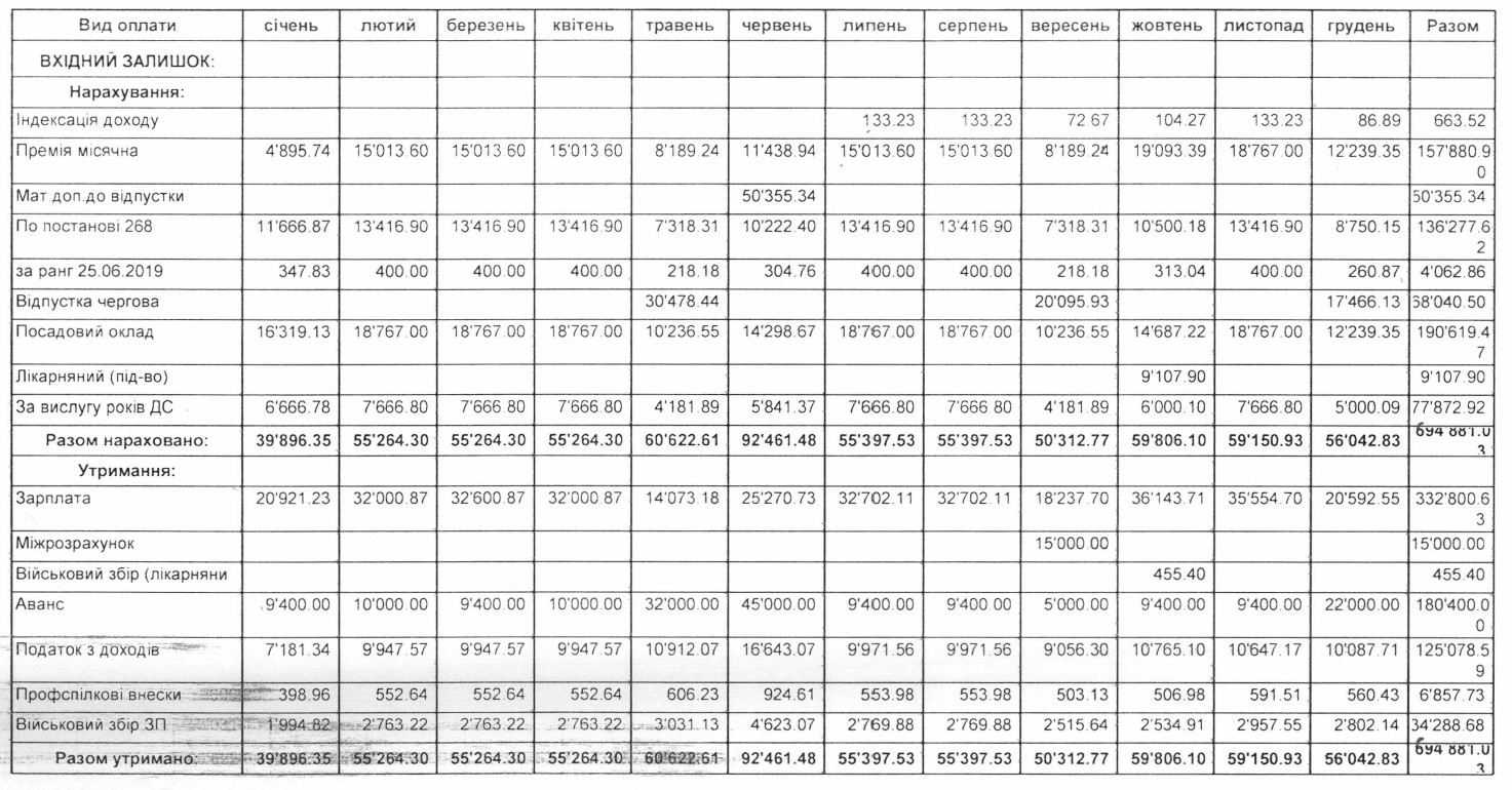
Керуюча справами виконкому
Керуюча справами (секретар виконавчого комітету) Галина Козлова мала посадовий оклад 18 767 грн.

У 2025 році їй нарахували 157 880 грн премій, понад 136 тис. грн доплат за постановою №268, а також надбавки за вислугу років і ранг.
Матеріальна допомога до відпустки становила 50 355 грн. Окрім цього, посадовиця отримувала відпускні та лікарняні.
Середньомісячна заробітна плата посадовиці після сплати податків становила близько 42 тис. грн.
Оподатковуваний дохід Галини Козлової за 2025 рік склав 694 881 грн. Після сплати податків – 528,5 тис. грн.
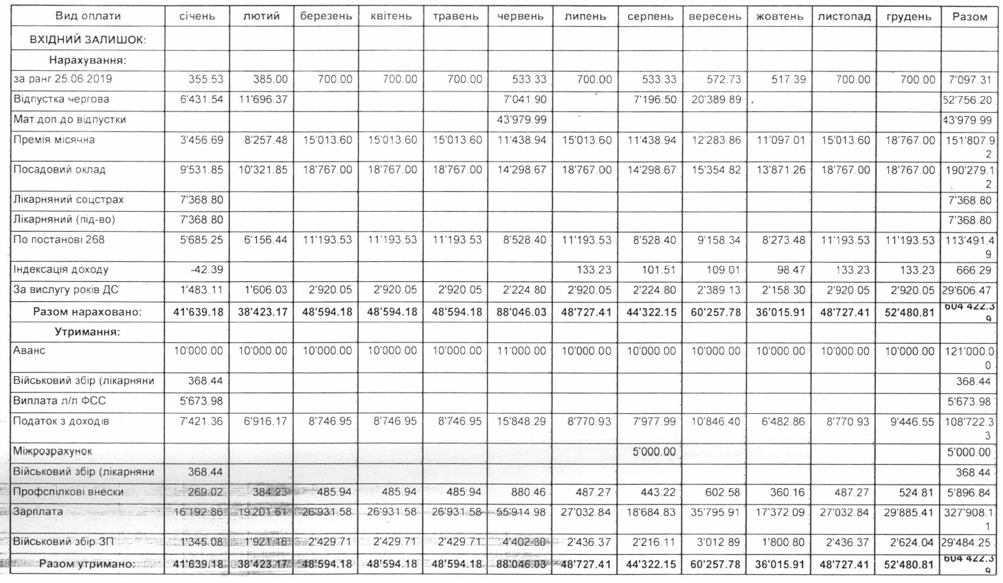
Секретар міської ради
Секретарем міської ради у 2025 році була Юлія Бойко. Її посадовий оклад становив 18 767 грн.

Упродовж року їй нарахували 151 807 грн премій, а також надбавки. Матеріальна допомога до відпустки склала 43 979 грн. Окрім цього, вона отримувала відпускні та лікарняні виплати.
У середньому кожен місяць чиновниці нараховують приблизно 48 тисяч гривень, після сплати податків вона отримує приблизно 37 тисяч гривень.
Загальний оподатковуваний дохід Юлії Бойко за 2025 рік становив 604 422 грн, з яких виплатили після сплати відрахувань майже 454 тис. грн.
Загалом у 2025 році чотирьом головним посадовцям Хорольської громади нарахували понад 3 млн 115 тис. грн оподатковуваного доходу. З урахуванням сплати податків і зборів виходить 2,37 млн грн. Як і раніше, основну частину виплат формували не лише посадові оклади, а премії, надбавки, матеріальна допомога та відпускні.
Підписуйтесь на наші оновлення в фейсбук, інстаграм та телеграм

Коментарі
Залишити коментар
Щоб залишити коментар, вам потрібно увійти або зареєструватися на нашому сайті