Зарплати головних посадовців Хорола: хто отримав найбільше у 2024 році?

Посадовцям Хорольської громади у 2024 році загалом нарахували понад 2,6 млн грн зарплат, премій та надбавок. Найвищі виплати традиційно припадали на місяці, коли нараховували відпускні та матеріальну допомогу. Найбільше заробив міський голова, який мав премії у розмірі 200% окладу.
На відміну від минулого року, цього разу ми отримали відповідь на запит без перешкод. Виконком скористався правом на відтермінування та взяв додаткові 20 днів, пояснюючи це великим обсягом інформації. Раніше ж, щоб отримати аналогічні дані, нам довелося писати запити тричі, а остаточні цифри стали доступними лише після втручання Уповноваженого Верховної Ради з прав людини.
Хорольська міська громада розташована в Лубенському районі Полтавської області. До її складу входять 93 населені пункти з адміністративним центром у місті Хорол. Площа територіальної громади — 1062,4 кв.км. Чисельність населення громади – понад 32 тисячі осіб, з яких приблизно 13 тисяч проживають у Хоролі.
Міський голова
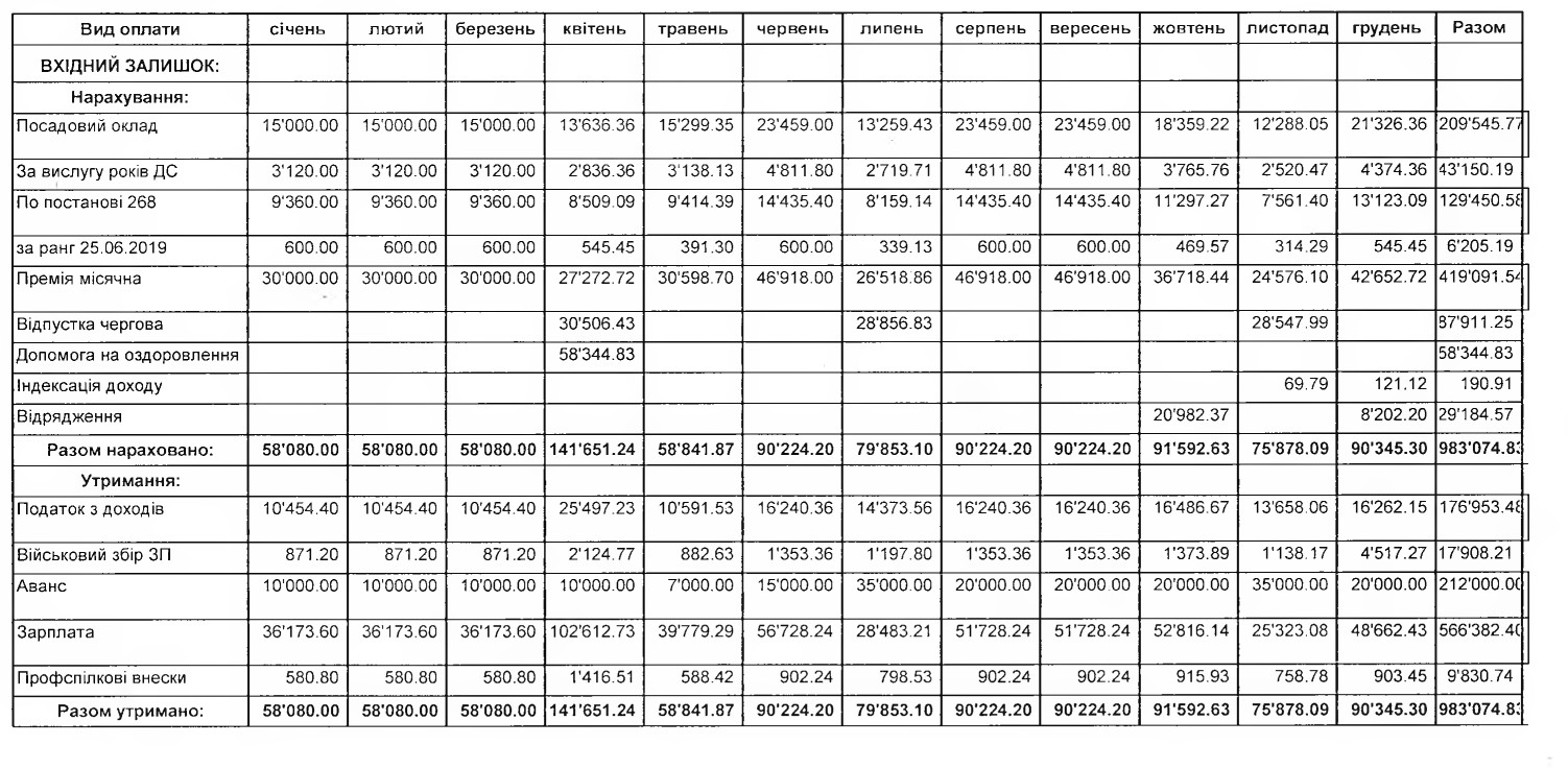
З 2015 року міським головою Хоролу є Сергій Волошин. Його оклад становив 15 тисяч гривень. З травня оклад, як і в інших посадовців, зріс до 23 459 грн. Упродовж року він отримував доплати: за ранг, вислугу років та надбавку в розмірі 50 % за постановою 268.

Щомісячно мер отримував премію в розмірі 200% окладу, тобто вона коливалась від 30 до майже 47 тис. грн.
Двічі очільник громади був у відрядженні, тричі брав відпустку, за що отримав відповідні нарахування.
Матеріальну допомогу міський голова отримав раз на рік – на оздоровлення. Її розмір — 58 334 грн.
Найвищу зарплатню Сергію Волошину нарахували у квітні – приблизно 141,4 тисяч гривень (за рахунок відпускних і оздоровчих), виплатили – 112,6 тис. грн.
До зростання окладу посадовцю нараховували приблизно 58 тис. грн, потому зарплата зросла до 90 тисяч. Після сплати податків щомісячна сума на руки становить 72 тис. грн.
Загалом у 2024 році нарахували 983 074 грн, фактично виплатили, після сплати податків, – 778 382 грн.
Заступник
У міського голови Хоролу один заступник – Валентин Місніченко.
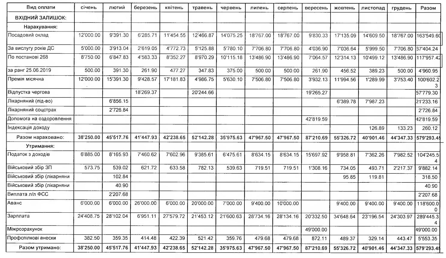
Його посадовий оклад – 18 767 грн (зріс з травня 2024-го). Посадовець отримував щомісячні доплати – за ранг, за вислугу років, надбавку в розмірі 50 %, а також премію, яка коливалась від 3,7 до 15,3 тис. грн.

Найбільша зарплата у заступника голови була у вересні за рахунок відпускних і матеріальної допомоги на оздоровлення. Тоді йому нарахували понад 87 тис. грн (після сплати податків вийшло приблизно 69 тис. грн). Середньомісячна зарплатня посадовця (з податками) складає приблизно 38 тисяч гривень.
Загалом у 2024 році Валентину Місніченку нарахували 579 293 грн, виплатили на руки 457 045 грн.
Керуюча справами виконкому
Нам також надали відповідь щодо заробітної плати та доплати керуючої справами Хорольського виконкому Галини Козлової. Її оклад складав 12 тисяч гривень, із травня зріс до 18 767 грн. Посадовиця отримувала доплати за ранг, вислугу років, надбавку 50 %.

Розмір щомісячної премії спочатку становив 12-18 тис. грн, потому зменшився до 7,5 тис. грн.
Керуюча отримала матеріальну допомогу на оздоровлення до відпустки у квітні — 42 304 грн, тому найбільші нарахування – приблизно 112 тисяч гривень – припадають саме на цей місяць. У середньому кожен місяць керуючій справами виконкому нараховують приблизно 47 тисяч гривень, після сплати податків вона отримує приблизно 37 тисяч гривень.
Загалом у 2024 році Галині Козловій нарахували 588 821 грн, з яких виплатили після сплати відрахувань – 466 480 грн.
Секретар ради
Юлія Бойко обіймає посаду секретаря Хорольської міськради, мала ставку 12 тисяч гривень, що пізніше зросла до 18 767 грн. Також їй нараховували щомісячні надбавки – за ранг, за вислугу років, надбавку 50 %, а також премію, розмір якої коливався від приблизно 3,7 до 17,9 тис. грн.

Секретар найвищу зарплату отримала у квітні – понад 81 тисячу гривень (сума без урахування сплати податків і зборів). Зарплата вийшла такою, бо в тому місяці їй начислили 37 237 грн оздоровчих та 16 854 грн відпускних.
Середня зарплатня у 2024 році у посадовиці складає приблизно 38 тисяч гривень, але це без сплати податків. По факту виходить приблизно 30 тисяч.
Загалом у минулому році Юлії Бойко нарахували 505 539 грн, з них на руки вона отримала 398 482 грн.
Загалом у 2024 році чотирьом головним посадовцям нарахували 2 млн 656 тис. грн, фактично виплатили 2 млн 100 тис. грн.

Коментарі
Залишити коментар
Щоб залишити коментар, вам потрібно увійти або зареєструватися на нашому сайті