«Чорний список» та скарга омбудсмену. Як ми отримували інформацію про зарплатню керівництва Градизької селищної ради

МедіаДоказ продовжує систематично висвітлювати, скільки податків громадян іде на заробітні плати та премії очільників громад Полтавщини. Цього разу мова піде про Градизьку селищну раду, яка не тільки не надала відповіді на запит, а ще й додала електронну адресу МедіаДоказу до «чорного списку». Але ми змогли оскаржити таку «відповідь» і отримали необхідну інформацію.
Градизька селищна рада – орган місцевого самоврядування у Кременчуцькому районі Полтавської області. Адміністративним центром є селище Градизьк. Крім того, до складу Градизької ОТГ входять ще 27 сіл.
Площа громади – 1257.9 кв. км. Населення ОТГ – понад 15 тисяч, з яких у Градизьку проживає приблизно 8 тисяч людей.
«Чорний список»
МедіаДоказ звернувся електронною поштою до селищної ради Градизька із запитом, в якому прохав надати інформацію про зарплатню посадових осіб Градизької селищної ради. Наш запит проігнорували і жодної відповіді не надали.
Ми написали повторний запит, але не змогли відправити електронний лист. Як виявилось через те, що Градизька сільрада внесла електронну адресу МедіаДоказу до «чорного списку». Схоже, це сталося після відправки запиту про зарплатню, бо більше ми з цією сільрадою ніде не контактували.

Ми звернулись до Уповноваженого Верховної Ради з прав людини Дмитра Лубенця, пояснивши ситуацію. Після вжитих регіональним представником заходів нам таки надали необхідні дані. При цьому затребувані цифри прислали з електронної адреси фінвідділу сільради, а в самому листі-відповіді не пояснили, чому замовчували інформацію.
Селищний голова
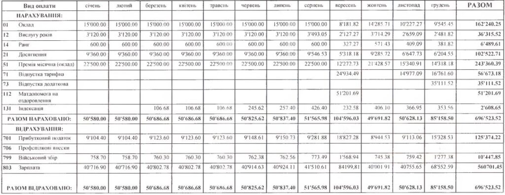
Отже, у відповіді нам надали дані про зарплатню Градизького селищного голови. З 2015 року цю посаду обіймає Мирослав Носа. Його оклад – 15 тисяч гривень. Також він отримував доплати за ранг (600 грн), за вислугу років (3 120 грн) і за високі досягнення (9 360 грн). Останні дві надбавки з серпня 2022 року зросли відповідно до 3 900 грн та 9 750 грн.
Розмір щомісячної премії становить 22 500 грн (це 150 % посадового окладу).

У минулому році селищний голова тричі отримував кошти за відпусткою тарифною, а також за додатковою відпусткою.
Судячи з відповіді на запит, матеріальну допомогу у Градизькій сільраді отримують один раз на рік – нараховують кошти на оздоровлення. Так, у 2022 році очільнику громади нарахували 51 201 грн оздоровчих.
Найбільша зарплатня у селищного голови Градизька припадає на вересень минулого року – понад 84 тисячі (за рахунок матеріальної допомоги на оздоровлення та відпускних). Загалом у минулому році Мирославу Носі виплатили на руки понад 560 тис. грн зарплатні.
У середньому щомісячна сума нарахувань селищного голови, після сплати податків та відрахувань, становить приблизно 41 тисячу.

Перший заступник
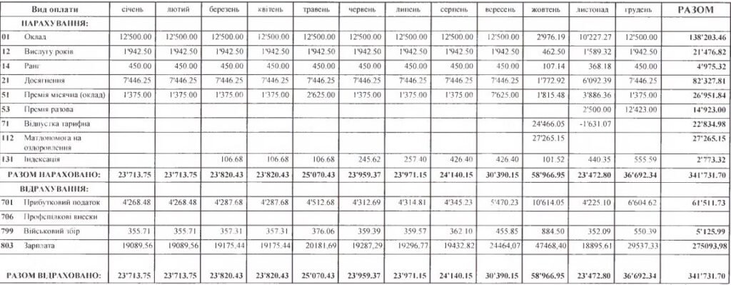
Володимир Гетало обіймає посаду першого заступника голови Градизької селищної ради із окладом 12 500 гривень. Посадовцю нараховують доплати за ранг та за вислугу років. Як і селищному голові, йому виплачують надбавку за високі досягнення у розмірі 50 % (7 446,5 грн).

Щомісячна премія першого заступника у минулому році здебільшого була 1 375 грн (у вересні – 7 626 грн). Цьогоріч премія коливалась від 1 750 до 11 875 грн. Також посадовцю виплатили одноразову премію у листопаді та грудні минулого року (2 500 і 12 421 грн відповідно).
Найбільшу зарплату Володимир Гетало отримав у жовтні 2022 року — майже 59 тисяч. Така сума вийшла, зокрема, через відпускні (24 446 грн) та матеріальну допомогу на оздоровлення (27 265 грн).
Щомісячна сума на руки у першого заступника після сплати податків – понад 19 тисяч гривень.

Заступник
Заступником селищного голови є Сергій Різніченко (на посаді з 2021 року). Його посадовий оклад – 12 тисяч гривень. Він отримував надбавки: за ранг (200 грн) та за досягнення (6 100 грн).

У 2022 році щомісячна премія Сергія Різніченка здебільшого була у розмірі 1 680 грн, цьогоріч – 1 800 грн. Разову премію наприкінці минулого року він отримав лише в листопаді (2 500 грн).
Найбільше коштів посадовцю нарахували у липні минулого року – понад 40 тис. грн, сюди входить і премія, і відпускні, і оздоровчі, і надбавки.

Середньомісячна зарплатня заступника, з урахуванням сплати податків, становить понад 16 тисяч гривень.
Секретар ради
Секретар Градизької селищної ради Микола Стадніченко має основну ставку – 12 тисяч гривень. До окладу йому нараховують доплати за ранг, за вислугу років.

Розмір щомісячної премії у 2022 році був 5 640 грн, у 2023 – 6 240 грн. Також наприкінці минулого року (у листопаді та грудні) посадовцю нарахували одноразову премію (відповідно по 2 500 та 6 212 грн).
У минулому році у липні Миколі Стадніченку один раз нараховували тарифну відпустку. В той же місяць йому виплатили оздоровчі (у розмірі 20 133 грн). У липні тільки вже цього року секретарю також нарахували матеріальну допомогу на оздоровлення. Її розмір склав 20 615 грн. Відповідно у тому місяці у секретаря селищної ради була й найвища зарплата – понад 40 тисяч.
У середньому щомісячна зарплатня секретаря, після сплати військового збору та податків, приблизно становить понад 16 тисяч гривень.


Коментарі
Залишити коментар
Щоб залишити коментар, вам потрібно увійти або зареєструватися на нашому сайті