Майже три тисячі гривень за інформацію. Як ми отримували дані про зарплати керівництва Новосанжарської селищної ради

МедіаДоказ продовжує систематично висвітлювати, скільки податків громадян іде на заробітні плати та премії очільників громад Полтавщини. Поки що єдиними, хто перешкоджав нам отримати інформацію про зарплатню керівництва громади у законний спосіб, попросивши заплатити за неї, стала селищна рада Нових Санжар. Але ми змогли оскаржити таку відповідь і отримали необхідну інформацію безкоштовно.
Рахунок замість відповіді
Ми звернулись до селищної ради Нових Санжар із запитом надати інформацію про зарплатню посадових осіб Носованжарської селищної ради у 2022 році та з січня по липень 2023-го. У відповідь надійшло два електронних листи (та один звичайною поштою), в яких були відповідно 2 і 8 додатків. Вочевидь то була частина даних, які ми просили.
Іншу частину, як нам повідомили, – а це 171 (!) аркуш – ми зможемо отримати після того, як сплатимо кошти. Для того на ім’я «Центру журналістських розслідувань Полтавщини «МедіаДоказ» був сформований рахунок на 2 657,34 грн. Стільки, за розрахунками селищної ради, вартує друк (2 214,45 грн) та подальше сканування роздрукованих аркушів (442,89 грн).

При цьому друк одного аркуша А4 у селищній раді Нових Санжар коштує 12,95 грн, що як мінімум удвічі дорожче, ніж пропонують типографії за чорно-білий друк аркуша такого формату по області.
Тут варто зробити ремарку, що стаття 21 Закону «Про доступ до інформації» передбачає, що інформація на запит надається безкоштовно. Якщо задоволення запиту на інформацію передбачає виготовлення копій документів обсягом більше як 10 сторінок, запитувач дійсно повинен відшкодувати фактичні витрати на копіювання та друк. Але при наданні інформації, що становить суспільний інтерес, плата за копіювання та друк не стягується.
Оскільки заробітна плата посадовців та й загалом розподіл бюджетних коштів, на нашу думку, суспільний інтерес становить (ми це бачимо хоча б за охопленнями, які отримують такі публікації), то ми звернулись до Євгена Воробйова, медіаюриста ГО «Платформа прав людини». Він допоміг нам скласти скаргу до Уповноваженого ВР з прав людини.
Через кілька днів надійшла відповідь, де регіональний представник Уповноваженого в Полтавській області повідомив, що оплату нам виставили правомірно, бо інформація є публічною і становить більше 10 сторінок. Ми з такою відповіддю не погодились, тому вирішили звернутись до суду.
Поки Євген Воробйов готував позовну заяву, він ще раз звернувся до Уповноваженого ВР. Після того у регіональному представництві переглянули скаргу і поновили наше право на інформацію, а попередній лист попросили вважати помилковим. У підсумку, на 25 день після того, як ми отримали рахунок, із Новосанжарської селищної ради надійшов лист, де повідомили, що у майбутньому зобов’язуються при розгляді запитів дотримуватись вимог ЗУ «Про публічну інформацію». А надіслані нарахування по зарплатах зайняли всього 10 сторінок.

Отже, запитувані дані, які ми змогли отримати.
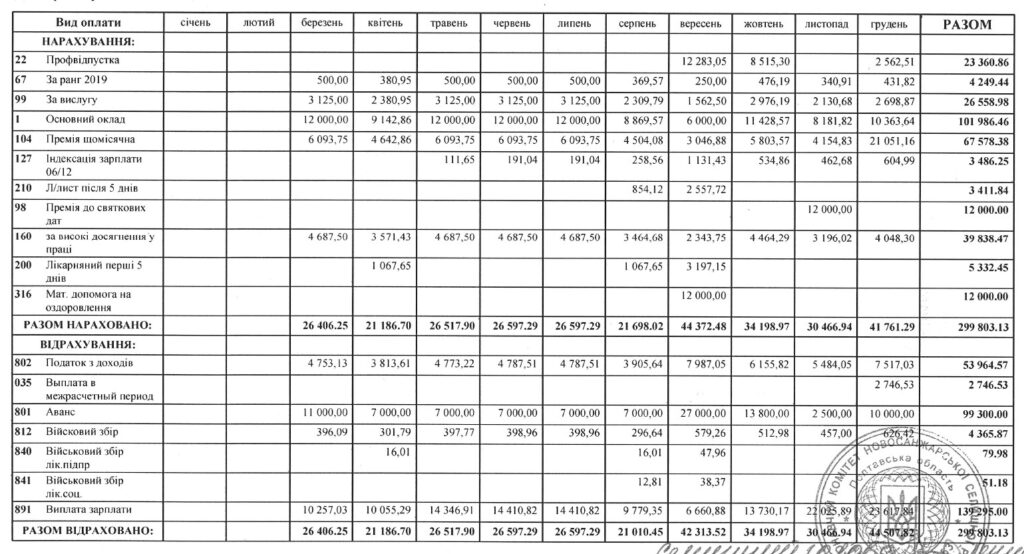
Селищний голова
Селищним головою з листопада 2020 року є Геннадій Супрун. Його оклад – 15 тисяч гривень. Також він отримує доплати за ранг (700 грн), за вислугу років (2 355 грн) і за високі досягнення у роботі (9 027 грн).

Щомісячна премія очільника громади становила 13 541 грн. Згодом вона зросла: з жовтня 2022 року – до 14 130 грн, а з січня 2023 року – 28 260 грн.
У жовтні 2022 року селищний голова отримав трохи більше 10 тисяч на відрядження. У минулому році він тричі отримував відпускні, також йому нарахували оздоровчі – у розмірі 42 574 грн.
У період з січня по серпень 2023 року посадовець двічі був у відпустці і двічі у відрядженні, за що отримав відповідні нарахування. Розмір оздоровчих цьогоріч склав 56 709 грн.
Найбільша зарплатня у селищного голови Нових Санжар припадає на червень: у 2022 році він отримав майже 78 тисяч і в 2023 році – майже 110 тисяч (за рахунок матеріальної допомоги на оздоровлення та відпускних).

У середньому за місяць у 2022 році, після сплати податків і військового збору, Геннадій Супрун отримував трохи майже 33 тисячі гривень зарплатні. Цьогоріч середня сума складає приблизно 45 тисяч.
Загалом у 2022 році селищний голова отримав «на руки» 439 тисяч зарплатні.
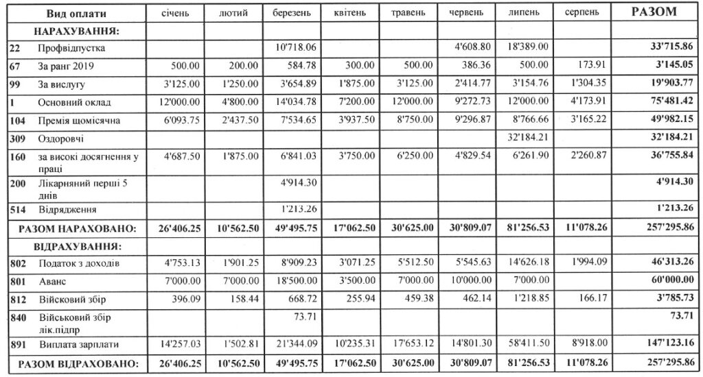
Заступники
У селищного голови Новосанжарської ради двоє заступників: Валентин Івашина та Віталій Мокляк. Обидва займають посади заступників з березня 2022-го. Посадовий оклад обох чиновників складає 12 тисяч гривень. Вони отримували надбавки: за ранг, за вислугу років та за високі досягнення.
Щомісячна премія Валентина Івашини здебільшого була у розмірі 6 093 грн, лише наприкінці 2022 року була вищою втричі – 21 051 грн.

Матеріальну допомогу Валентин Івашина отримував один раз на рік. У 2022 році йому нарахували оздоровчі у розмірі 12 000 грн, а в 2023 вже вищі – 32 184 грн.
Найбільше коштів нарахували у липні цього року – понад 65 тис. грн, сюди входить і премія, і відпускні, і матеріальна допомога, і надбавки. Середньомісячна зарплатня заступника (без урахування сплати податків) складає 24 тисяч гривень.

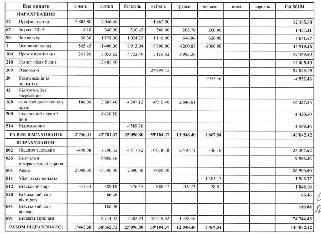
Віталій Мокляк отримував щомісячну премію у розмірі 5 319 грн. У грудні її розмір склав 19 344 грн. Як й інші члени апарату селищної ради він отримав премію до свят у листопаді минулого року у розмірі посадового окладу.

Найбільшу зарплатню заступник селищного голови отримав у липні 2023 року – 47,5 тис. грн – за рахунок матеріальної допомоги та відпускних.
У середньому за місяць Віталій Мокляк отримував «на руки» 18 тисяч гривень зарплатні.

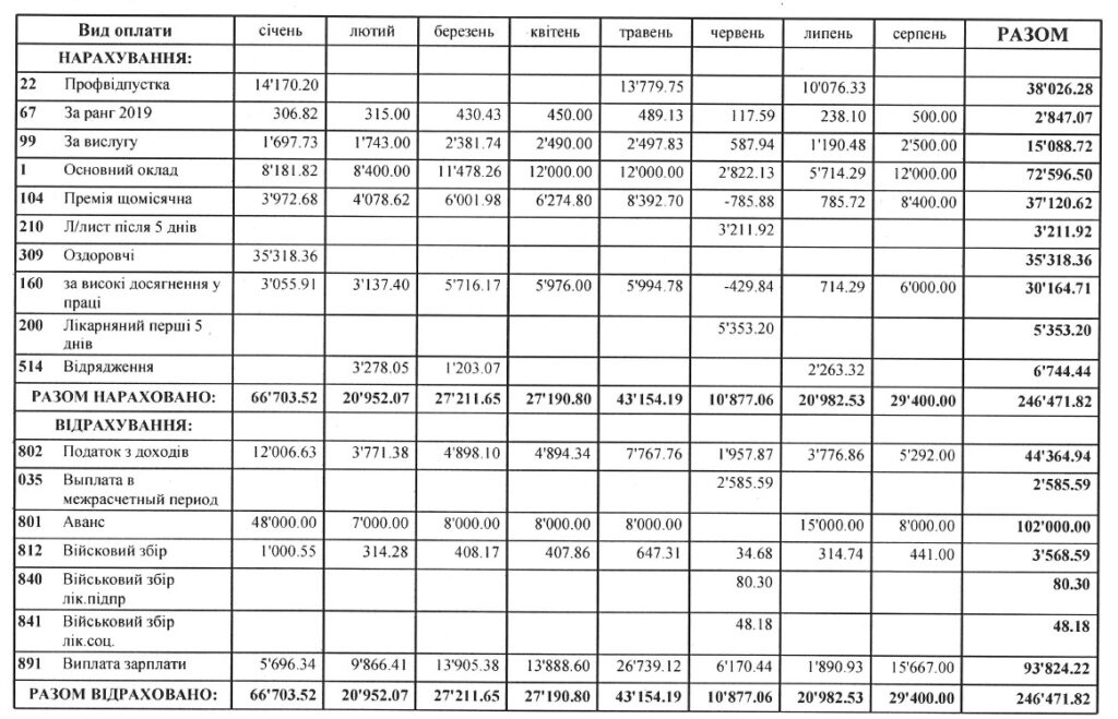
Секретар ради
Секретар Новосанжарської селищної ради Таміла Музика має основну ставку – 12 тисяч гривень. До окладу їй нараховують доплати за ранг, за вислугу років та за високі досягнення.

Щомісячна премія посадовиці за повний відпрацьований місяць коливається від 5 826 до 8 964 грн. У грудні 2022-го вона була підвищеною – 23 306 грн. Також у листопаді минулого року їй виплатили премію до святкової дати у розмірі посадового окладу.
У цьому році тричі чиновниці виплачували відпускні, тричі – відрядження, а також оздоровчі у розмірі 35 318 грн. У минулому році сума матеріальної допомоги склала лише 12 тисяч гривень.
Найбільша зарплатня секретаря ради – майже 54 тисячі – була у січні цього року, коли вона пішла у відпустку.

Таміла Музика у середньому отримує «на руки» після сплати військового збору та податків приблизно 23 тисяч гривень на місяць.
Керуюча справами виконкому
Валентина Василенко займає посаду керуючої справами Новосанжарського виконкому із посадовим окладом 12 тисяч гривень. Посадовиці нараховують доплати за ранг, за вислугу та за високі досягнення у праці.

Щомісячна премія керуючої коливалась від 6,8 до 9,8 тисяч гривень. Наприкінці року премія була підвищеною – 27 300 грн. Також у листопаді минулого року їй нарахували одноразову премію до свята у розмірі 12 000 грн.
Найбільшу зарплату Валентина Василенко отримала у серпні 2023 року: майже 62 тисячі. Така сума вийшла, зокрема, через відпускні (25 063 грн), премію (5 113 грн) та матеріальну допомогу (34 280 грн). У минулому році сума оздоровчих чиновниці складала 12 тисяч гривень.

Щомісячна сума «на руки» у керуючої справами виконкому після сплати податків коливається від 24 до 27 тисяч гривень.

Коментарі
Залишити коментар
Щоб залишити коментар, вам потрібно увійти або зареєструватися на нашому сайті